Описание
Характеристики
Отзывы
Описание
Печатная книга «Журнал "Шахматы в CCCP", №01-12, 1956» в мягкой обложке, язык - русский. В книге 432 страниц, она напечатана на белой офсетной бумаге плотностью 80 г/м². Формат издания — 205x280 мм. Все книги аккуратно упаковываем в прочный трёхслойный непрозрачный картонный конверт.
Советский шахматный ежемесячный журнал, печатный орган Шахматной федерации СССР. Журнал был основан в 1931 году на базе журнала «Шахматный листок». По состоянию на 1987 год распространялся в 50 странах мира, общий тираж: 52 тыс. экземпляров. В 1995 году журнал был переименован в «Шахматы в России». В 1999 году журнал перестал выходить.
Эта книга — репринт оригинального издания (издательство "«Физкультура и спорт»", 1956 год), созданный на основе электронной копии высокого разрешения, которую очистили и обработали вручную, сохранив структуру и орфографию оригинального издания. Редкие, забытые и малоизвестные книги, изданные с петровских времен до наших дней, вновь доступны в виде печатных книг.
Характеристики
Язык
Русский
Формат
205x280
Период издания оригинала
1950-1970
Отзывы
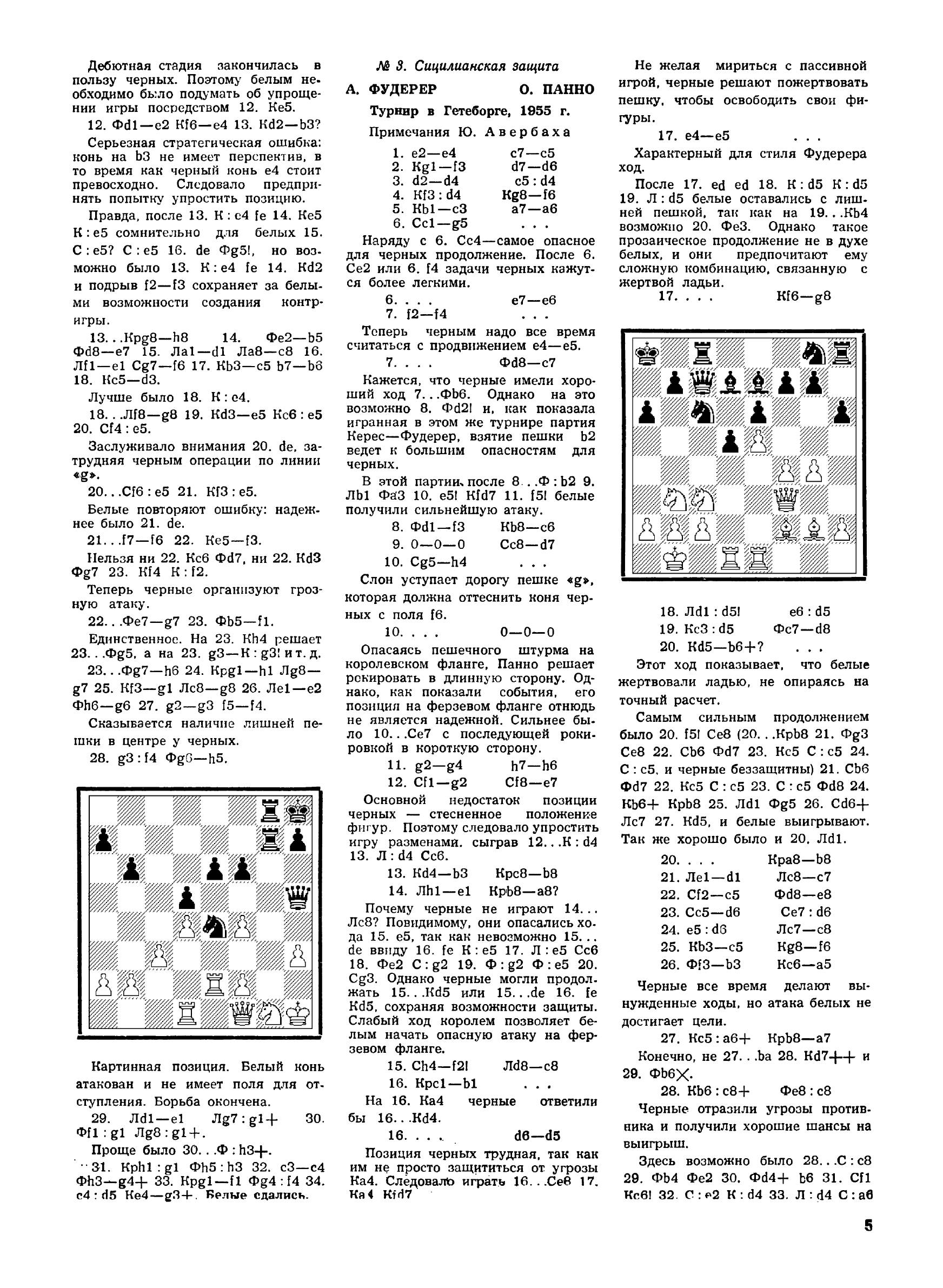
Отзывов еще никто не оставлял
