Описание
Характеристики
Отзывы
Описание
Печатная книга «Тригонометрические уравнения и неравенства, Книга для учителей» в мягкой обложке, язык - русский. В книге 240 страниц, она напечатана на белой офсетной бумаге плотностью 80 г/м². Формат издания — 148x210 мм. Все книги аккуратно упаковываем в прочный трёхслойный непрозрачный картонный конверт.
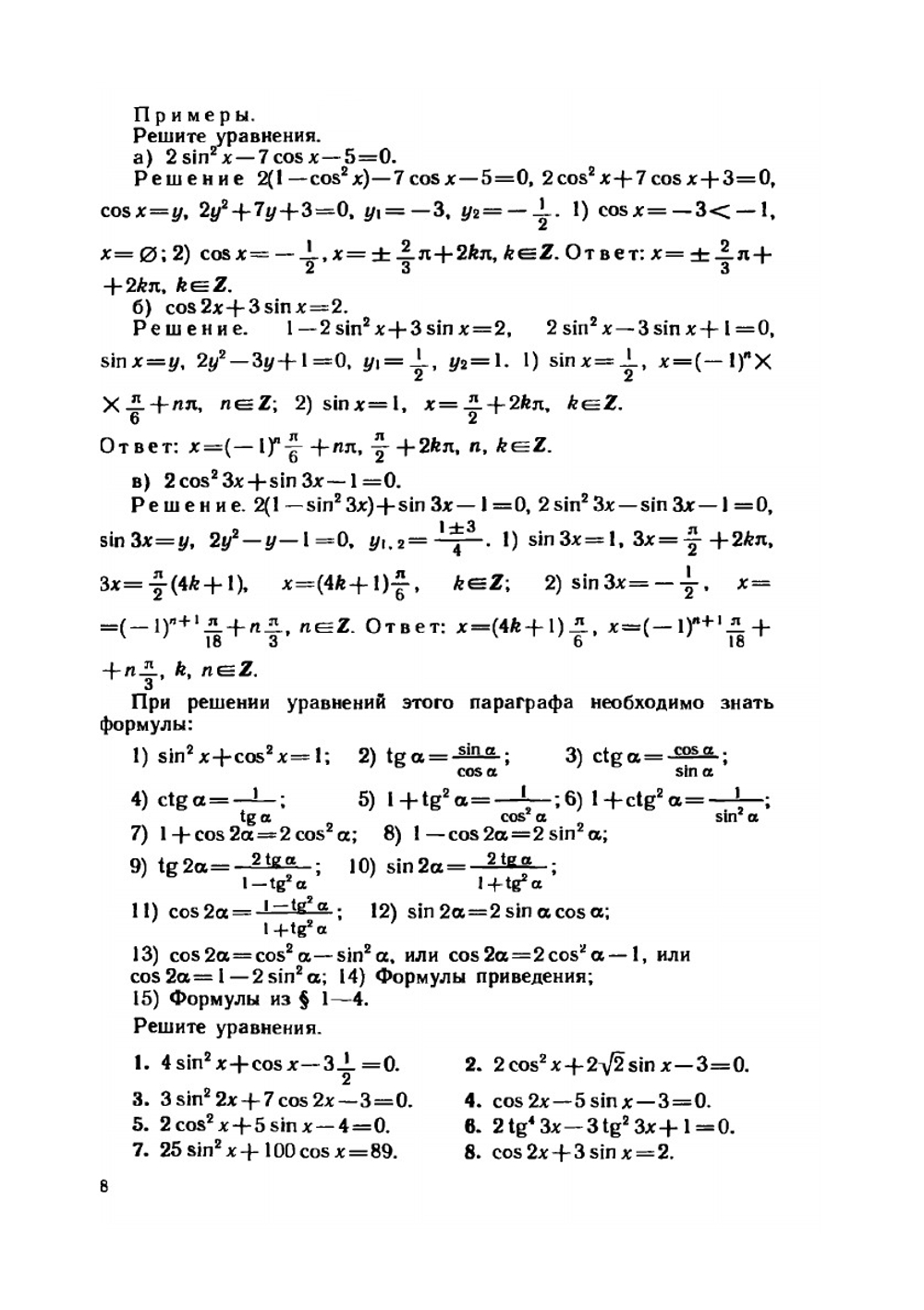
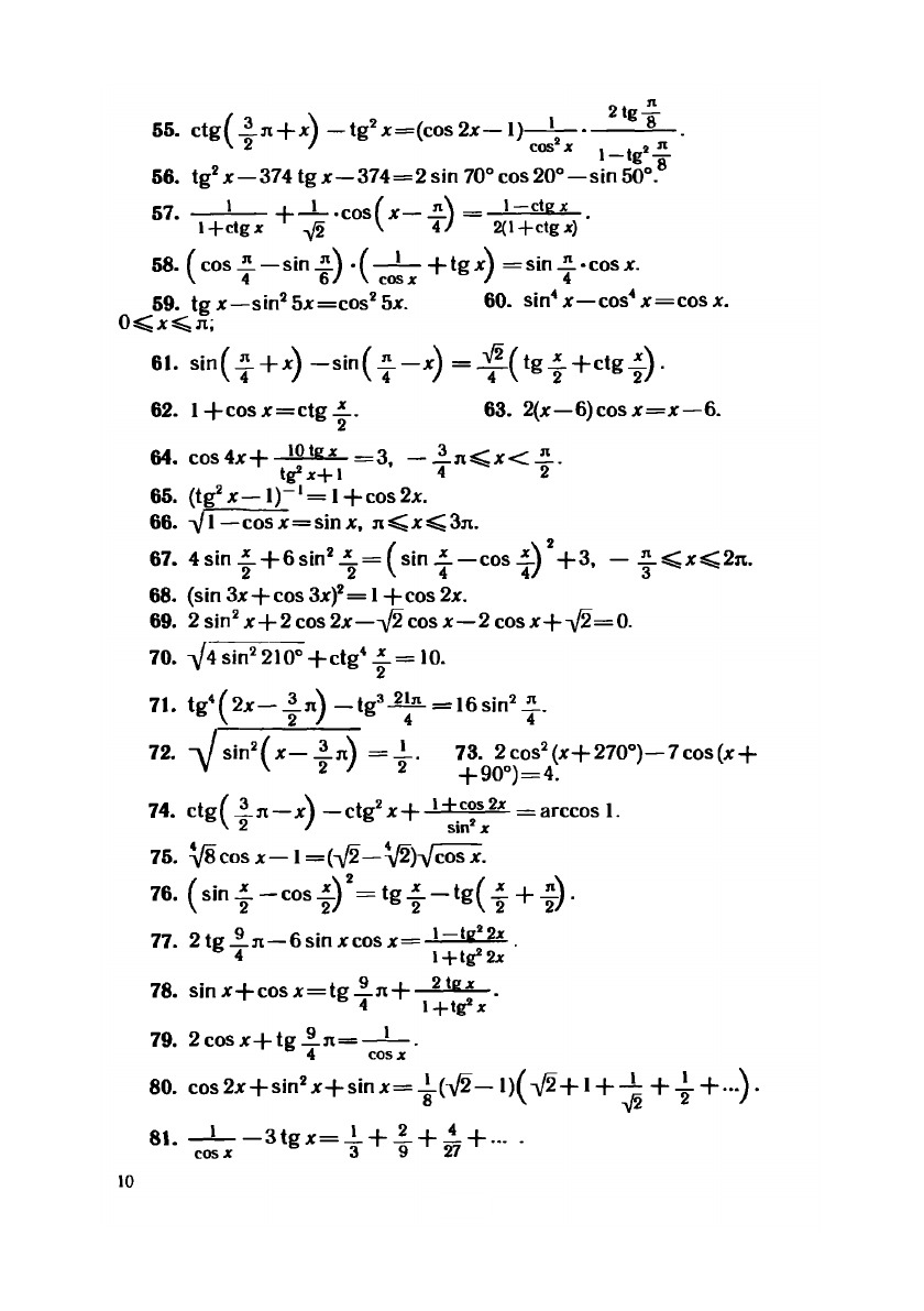
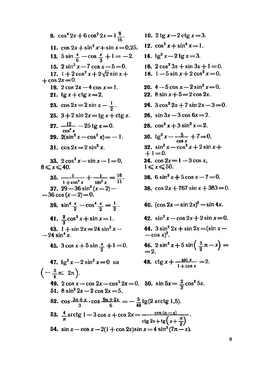
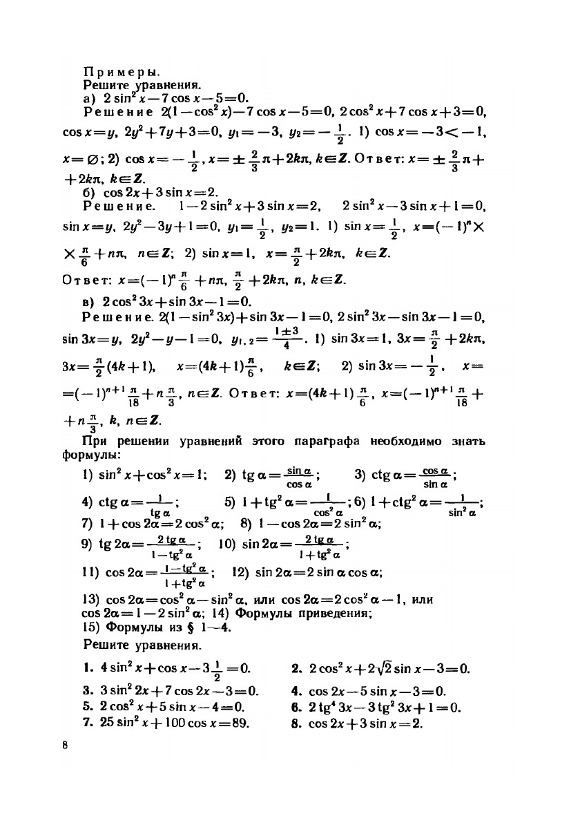
Книга представляет собой сборник задач, составленный на основ многолетнего опыта работы автора в школе. В начале каждой главы или параграфа даётся небольшой теоретический материал, рассматриваются различные способы решения основных видов задач. Далее предлагается система упражнений, расположенных в порядке нарастания трудности. Вторую часть книги составляют ответы, указания или решения задач.Обширный набор упражнений и задач даёт возможность учителю составлять индивидуальные задания для учащихся с учётом их возможностей. Предполагается, что упражнения могут быть использованы для обобщения и повторения материала на завершающей стадии изучения той или иной части раздела, на факультативных занятиях и при подготовке к экзаменам.
Эта книга — репринт оригинального издания (издательство "Просвещение", 1989 год), созданный на основе электронной копии высокого разрешения, которую очистили и обработали вручную, сохранив структуру и орфографию оригинального издания. Редкие, забытые и малоизвестные книги, изданные с петровских времен до наших дней, вновь доступны в виде печатных книг.
Характеристики
Язык
Русский
Формат
148x210
Период издания оригинала
1980-1990
Отзывы
Отзывов еще никто не оставлял
