Описание
Характеристики
Отзывы
Описание
Печатная книга «Трансформаторы звуковой и ультразвуковой частоты» в мягкой обложке, язык - русский. В книге 152 страниц, она напечатана на белой офсетной бумаге плотностью 80 г/м². Формат издания — 148x210 мм. Все книги аккуратно упаковываем в прочный трёхслойный непрозрачный картонный конверт.
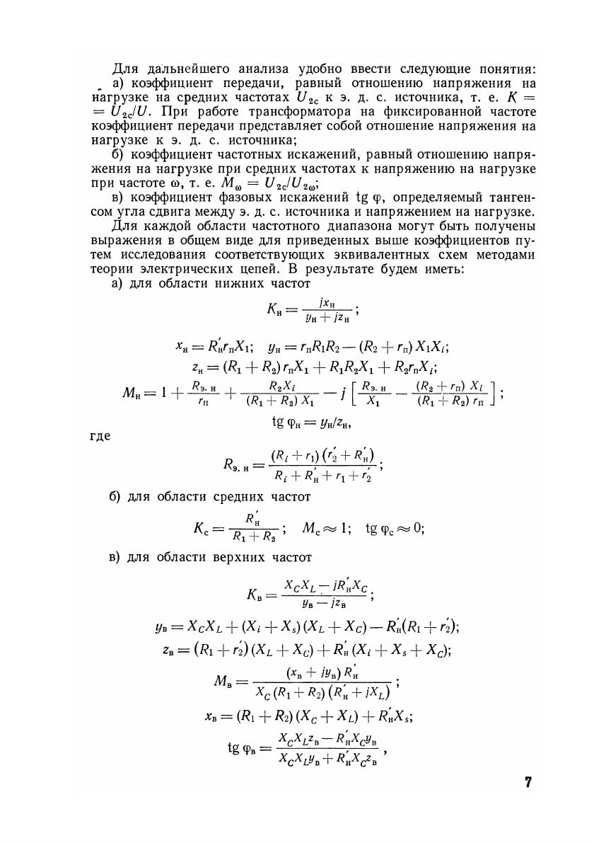
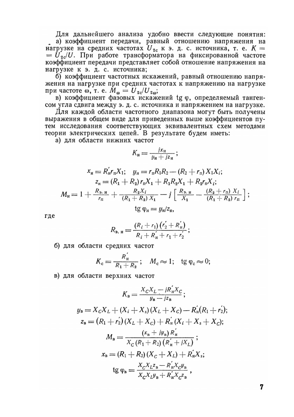
В книге рассматриваются вопросы расчета и конструирования трансформаторов звукового и ультразвукового диапазона частот, анализируется влияние различных параметров на их работу, приводятся аналитические методы определения собственной емкости обмоток, индуктивности рассеяния, тепловых режимов и т. д. Излагаются методы измерения потерь в магнитопроводах, добротности, определения частотной характеристики и др. Основной текст иллюстрирован примерами расчетов и содержит необходимый справочный материал. Книга предназначается для работников научно-исследовательских организаций, конструкторских бюро и специалистов промышленности, связанных с разработкой и производством трансформаторов рассматриваемого типа.
Эта книга — репринт оригинального издания (издательство "Энергия", 1973 год), созданный на основе электронной копии высокого разрешения, которую очистили и обработали вручную, сохранив структуру и орфографию оригинального издания. Редкие, забытые и малоизвестные книги, изданные с петровских времен до наших дней, вновь доступны в виде печатных книг.
Характеристики
Язык
Русский
Формат
148x210
Период издания оригинала
1970-1980
Отзывы
Отзывов еще никто не оставлял
