Описание
Характеристики
Отзывы
Описание
Печатная книга «Тепловозы ТЭМ1 и ТЭМ2» в мягкой обложке, язык - русский. В книге 278 страниц, она напечатана на белой офсетной бумаге плотностью 80 г/м². Формат издания — 205x280 мм. Все книги аккуратно упаковываем в прочный трёхслойный непрозрачный картонный конверт.
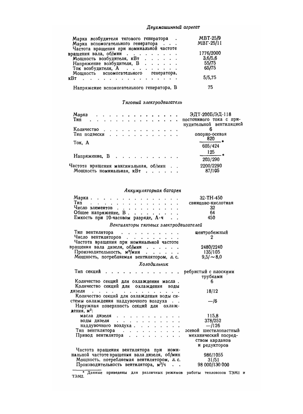
В книге описана конструкция тепловозов ТЭМ1 и ТЭМ2 и их основынх узлов (дизелей, вспомогательного оборудования); рассмотрены электрические схемы, машины и аппараты, тормозная система и экипажная часть; освещены вопросы, связанные с эксплуатацией и обслуживанием этих локомотивов.Рассчитана на локомотивные бригады и работников депо. Будет полезна учащимся технических школ и техникумов железнодлрожного транспорта.Издание 2-е, исправленное и дополненное.
Эта книга — репринт оригинального издания (издательство ""Транспорт"", 1978 год), созданный на основе электронной копии высокого разрешения, которую очистили и обработали вручную, сохранив структуру и орфографию оригинального издания. Редкие, забытые и малоизвестные книги, изданные с петровских времен до наших дней, вновь доступны в виде печатных книг.
Характеристики
Язык
Русский
Формат
205x280
Период издания оригинала
1970-1980
Отзывы
Отзывов еще никто не оставлял
