Описание
Характеристики
Отзывы
Описание
Печатная книга «Сборник задач по элементарной математике повышенной трудности» в мягкой обложке, язык - русский. В книге 523 страниц, она напечатана на белой офсетной бумаге плотностью 80 г/м². Формат издания — 148x210 мм. Все книги аккуратно упаковываем в прочный трёхслойный непрозрачный картонный конверт.
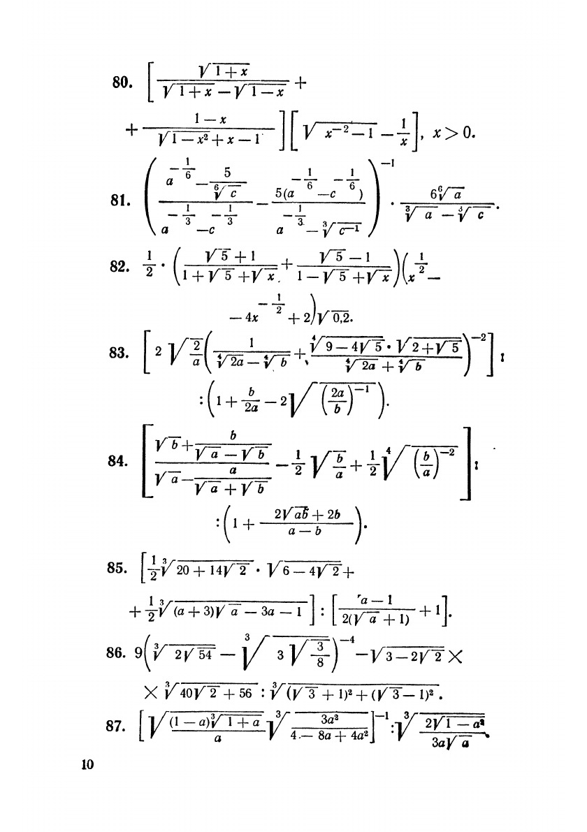
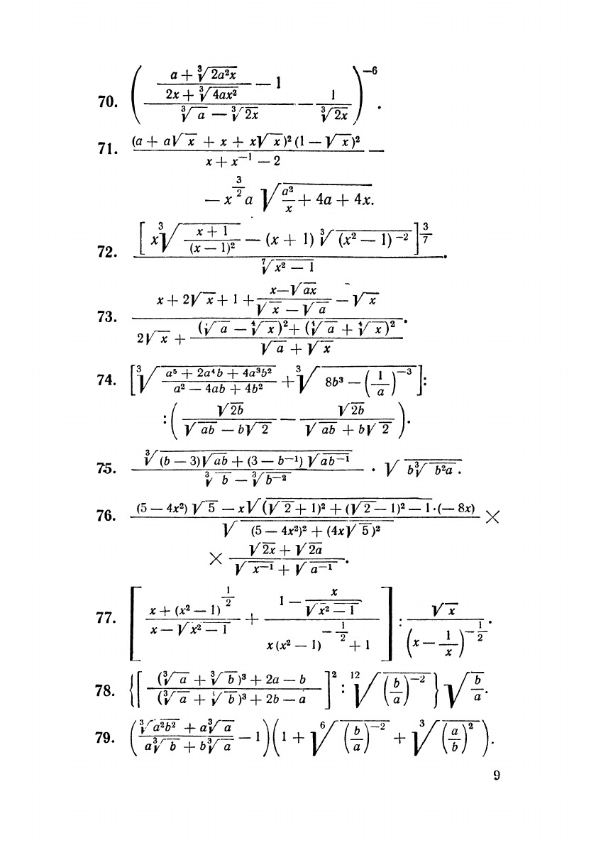
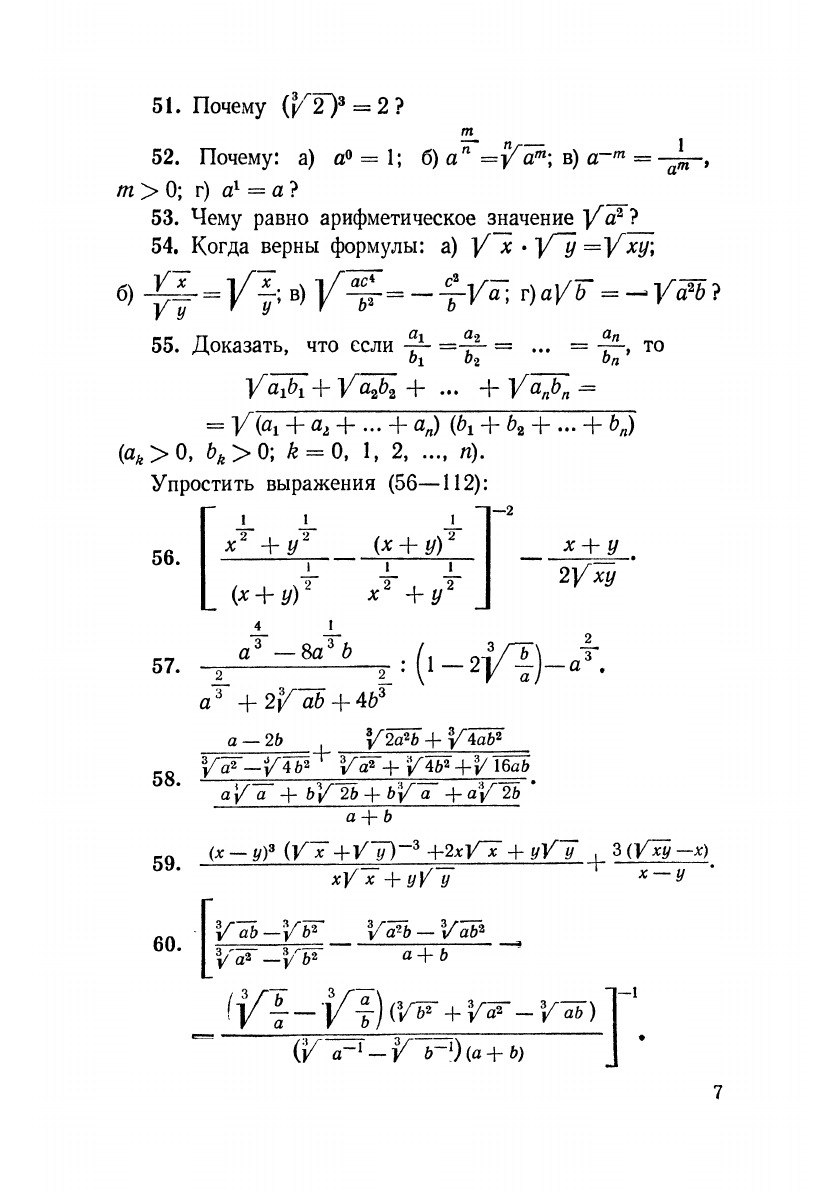
Сборник содержит свыше тысячи задач по элементарной математике, главным образом повышенной трудности. Задачи, по возможности, систематизированы и снабжены решениями. В отдельных случаях в связи с решением задачи и там, где это уместно, приведены вопросы теории. Иногда они предпосланы решению группы задач, объединенных общей идеей. Даны разъяснения по вопросам теории равносильности уравнений, построения графиков, комплексных чисел, обратных тригонометрических функций, математической индукции и некоторым другим вопросам. Сборник рассчитан на лиц, окончивших среднюю школу и желающих продолжать совершенствоваться в методах решения задач или готовиться в вуз. Он может послужить дополнительным пособием учителю при работе в классе, для индивидуальных заданий учащимся, особо интересующимся математикой, студентам педагогических институтов.
Эта книга — репринт оригинального издания (издательство "Высшая школа", 1965 год), созданный на основе электронной копии высокого разрешения, которую очистили и обработали вручную, сохранив структуру и орфографию оригинального издания. Редкие, забытые и малоизвестные книги, изданные с петровских времен до наших дней, вновь доступны в виде печатных книг.
Характеристики
Язык
Русский
Формат
148x210
Период издания оригинала
1950-1970
Отзывы
Отзывов еще никто не оставлял
