Описание
Характеристики
Отзывы
Описание
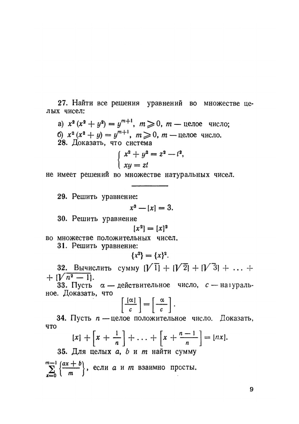
Печатная книга «Сборник олимпиадных задач по математике» в мягкой обложке, язык - русский. В книге 144 страниц, она напечатана на белой офсетной бумаге плотностью 80 г/м². Формат издания — 148x210 мм. Все книги аккуратно упаковываем в прочный трёхслойный непрозрачный картонный конверт.
В пособие включены задачи различной степени трудности для подготовки и проведения школьных, районных и областных олимпиад по математике. Все задачи снабжены подробными решениями. Сборник адресуется учащимся старших классов. Он может быть использован учителями математики для проведения внеклассной работы и факультативных занятий.
Эта книга — репринт оригинального издания (издательство "Народная асвета", 1980 год), созданный на основе электронной копии высокого разрешения, которую очистили и обработали вручную, сохранив структуру и орфографию оригинального издания. Редкие, забытые и малоизвестные книги, изданные с петровских времен до наших дней, вновь доступны в виде печатных книг.
Характеристики
Язык
Русский
Формат
148x210
Период издания оригинала
1970-1980
Отзывы
Отзывов еще никто не оставлял
