Описание
Характеристики
Отзывы
Описание
Печатная книга «Сборник конкурсных задач по математике с решениями» в мягкой обложке, язык - русский. В книге 234 страниц, она напечатана на белой офсетной бумаге плотностью 80 г/м². Формат издания — 148x210 мм. Все книги аккуратно упаковываем в прочный трёхслойный непрозрачный картонный конверт.
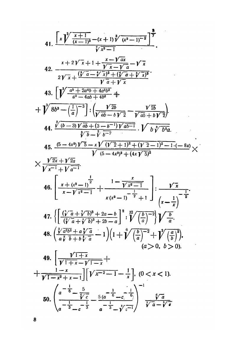
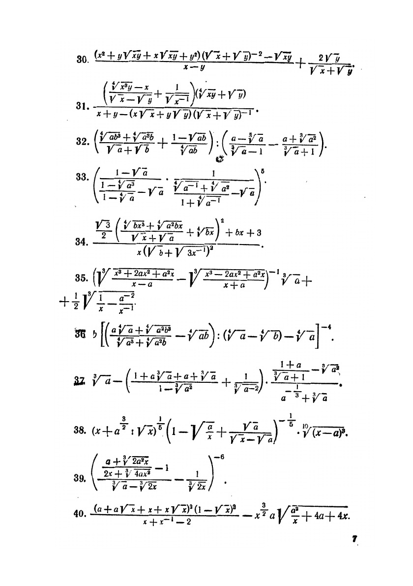
В «Сборнике» помещено 540 задач и вопросов по математике, предлагавшихся в 1946 1951 гг. на вступительных экзаменах в Ленинградский университет имени А. А. Жданова, Московский университет имени М. В. Ломоносова, Ленинградский политехнический институт имени М. И. Калинина, Ленинградский электротехнический институт имени В. И. Ульянова (Ленина) и другие высшие учебные заведения. Задачи, по возможности, систематизированы и снабжены решениями. «Сборник» ставит своей целью ознакомить оканчивающих среднюю школу и учителей с характером требований по математике, предъявляемых к поступающим в высшие учебные заведения, и тем самым содействовать устранению имеющегося разрыва между требованиями, предъявляемыми на выпускных экзаменах в школах, и требованиями, предъявляемыми на приемных экзаменах в вузах. Вместе с тем, та часть книги, которая содержит решения, может послужить методическим пособием как учащимся при подготовке к вступительным экзаменам, так и молодым учителям в их школьной работе.
Эта книга — репринт оригинального издания (издательство "Издательство Ленинградского университета", 1954 год), созданный на основе электронной копии высокого разрешения, которую очистили и обработали вручную, сохранив структуру и орфографию оригинального издания. Редкие, забытые и малоизвестные книги, изданные с петровских времен до наших дней, вновь доступны в виде печатных книг.
Характеристики
Язык
Русский
Формат
148x210
Период издания оригинала
1950-1970
Отзывы
Отзывов еще никто не оставлял
