Описание
Характеристики
Отзывы
Описание
Печатная книга «Операционное исчисление и контурные интегралы» в мягкой обложке, язык - русский. В книге 384 страниц, она напечатана на белой офсетной бумаге плотностью 80 г/м². Формат издания — 148x210 мм. Все книги аккуратно упаковываем в прочный трёхслойный непрозрачный картонный конверт.
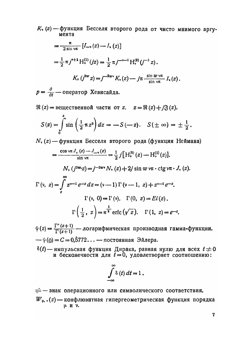
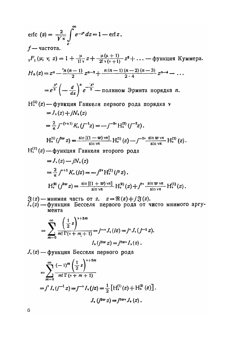
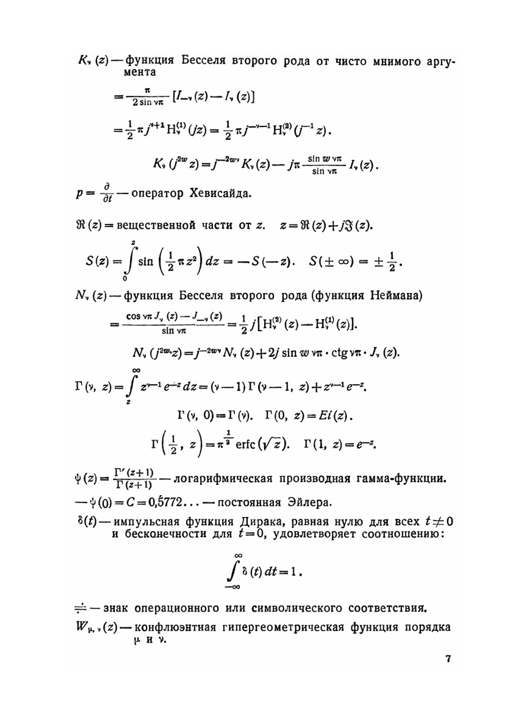
Операционное исчисление до настоящего времени находит себе применение, главным образом, в прикладной теории электричества, хотя давно известно, что оно может быть применено почти во всех отделах математической физики. Выпуская эту книгу, авторы, с одной стороны, стремились к тому, чтобы показать какие обширные возможности дают методы контурных интегралов и операционного исчисления; с другой стороны, эта книга представляет собой попытку дать строгое математическое изложение операционного исчисления более полное, чем в большинстве имеющихся руководств.
Эта книга — репринт оригинального издания (издательство "ОНТИ", 1937 год), созданный на основе электронной копии высокого разрешения, которую очистили и обработали вручную, сохранив структуру и орфографию оригинального издания. Редкие, забытые и малоизвестные книги, изданные с петровских времен до наших дней, вновь доступны в виде печатных книг.
Характеристики
Язык
Русский
Формат
148x210
Период издания оригинала
1900-1950
Отзывы
Отзывов еще никто не оставлял
