Описание
Характеристики
Отзывы
Описание
Печатная книга «Курс паровозов Устройство и работа паровозов и техника их ремонта, Том 2. Машина, экипаж и тендер» в мягкой обложке, язык - русский. В книге 524 страниц, она напечатана на белой офсетной бумаге плотностью 80 г/м². Формат издания — 148x210 мм. Все книги аккуратно упаковываем в прочный трёхслойный непрозрачный картонный конверт.
Во втором томе книги подробно рассмотрены: устройство, конструкция и работа паровой машины, экипажа и тендера, а также приведены крепостной расчет и техника их ремонта. Кроме того, здесь излагаются: динамика и парораспределение паровоза, тепловой расчет паровой машины и тендера-конденсатора.
Книга предназначается в качестве стабильного учебника для студентов втузов жел.-дор. транспорта.
Согласно постановлениям XVII партсъезда мощные паровозы серий «ФД» и «ИС» за вторую пятилетку стали основными единицами паровозов товарного и пассажирского парков. Введение мощных паровозов серий «ФД» и «ИС» является одним из звеньев проводящейся технической реконструкции на транспорте.
При разработке проекта паровоза серии «ФД» была принята нагрузка на сцепную ось в 20 т, позволяющая этому паровозу работать на рельсах типа IIIа, имеющихся на 79—75% протяжения жел.-дор. сети. При разработке чертежей этих паровозов был учтен американский опыт мощного паровозостроения. Конструктивно американские паровозы во многом отличаются от наших паровозов прежней постройки; по своим размерам и силе тяги; первые вполне отвечают нашим требованиям, предъявленным к мощным паровозам.
Для детального ознакомления с американскими паровозами нами в 1931 г. в США были заказаны 10 крупных паровозов: пять паровозов типа 1-5-2 были заказаны фирме АЛКО (Американская локомотивная компания) и пять паровозов типа 1-5-1 —фирме Балдвин. Паровозы имеют нагрузку на сцепную ось в 23 т. Первым пяти паровозам была присвоена серия «ТА», вторым — «ТБ». Паровозы серий «ТА» и «ТБ» пришли в СССР в октябре 1931 г.
К 7 ноября 1931 г. Луганским заводом был выпущен первый товарный паровоз типа 1-5-1, которому была присвоена серия «ФД», с самого начала своей эксплуатации показавший хорошие качества как мощный быстроходный паровоз.
Сила тяги паровоза серии «ФД» по сцеплению на 17—20% больше, чем у паровоза серии «Э», но, имея значительно более мощный котел, паровоз серии «ФД» ведет поезд на расчетном подъеме со скоростью в 1,5 раза с лишним большей, чем паровоз серии «Э». Общий вид паровоза серии «ФД» показан на фиг. 5. Качества паровоза серии «ФД» чрезвычайно высоки. Достаточно простой в обслуживании и ремонте, вполне отвечающий по своей мощности требованиям, предъявляемым к современному мощному товарному паровозу, — в руках машинистов-кривоносовцев паровоз серии «ФД» обнаруживает резервы дальнейшего увеличения мощности и улучшения эксплуатационных измерителей. Паровоз серии «ФД» завоевал прочное место на жел.-дор. транспорте и еще долгий ряд лет будет являться основным наиболее распространенным товарным мощным паровозом.
Эта книга — репринт оригинального издания (издательство "Трансжелдориздат", 1937 год), созданный на основе электронной копии высокого разрешения, которую очистили и обработали вручную, сохранив структуру и орфографию оригинального издания. Редкие, забытые и малоизвестные книги, изданные с петровских времен до наших дней, вновь доступны в виде печатных книг.
Характеристики
Язык
Русский
Формат
148x210
Период издания оригинала
1900-1950
Отзывы
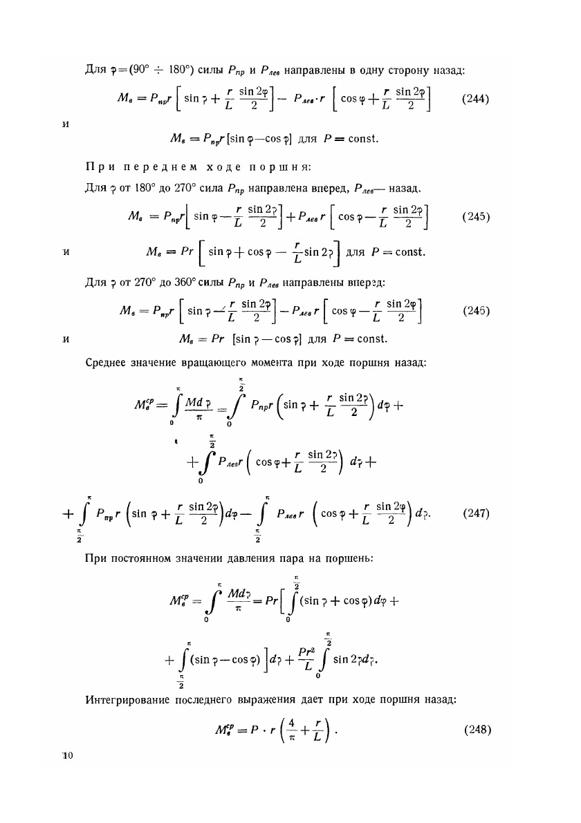
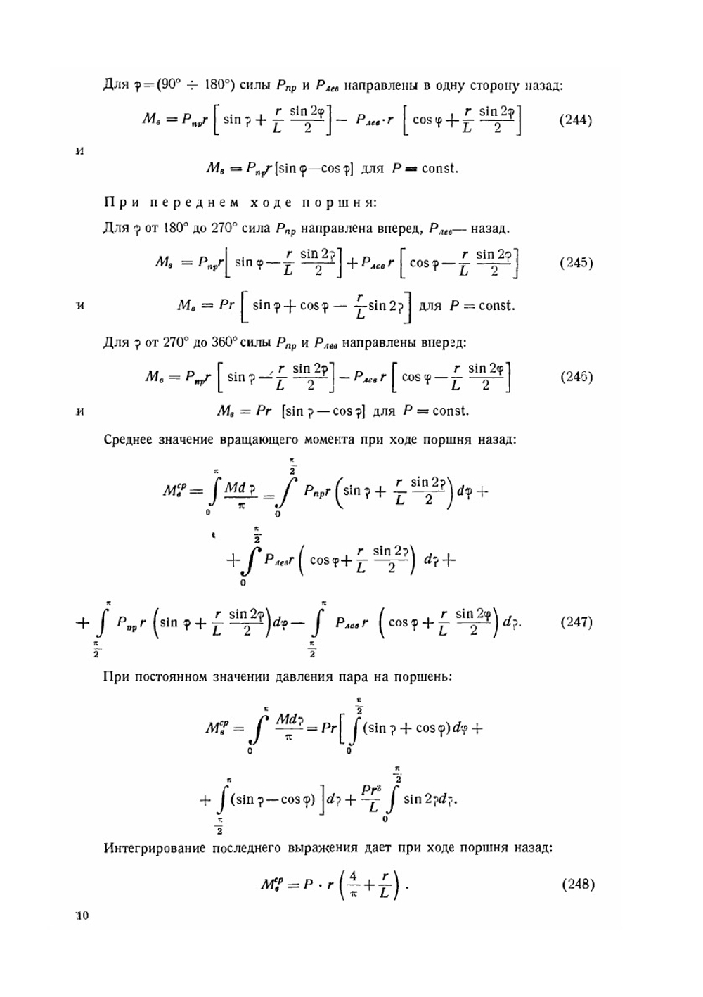
Отзывов еще никто не оставлял
