Описание
Характеристики
Отзывы
Описание
Печатная книга «Геодезические работы при эксплуатации крупногабаритного промышленного оборудования» в мягкой обложке, язык - русский. В книге 152 страниц, она напечатана на белой офсетной бумаге плотностью 80 г/м². Формат издания — 205x280 мм. Все книги аккуратно упаковываем в прочный трёхслойный непрозрачный картонный конверт.
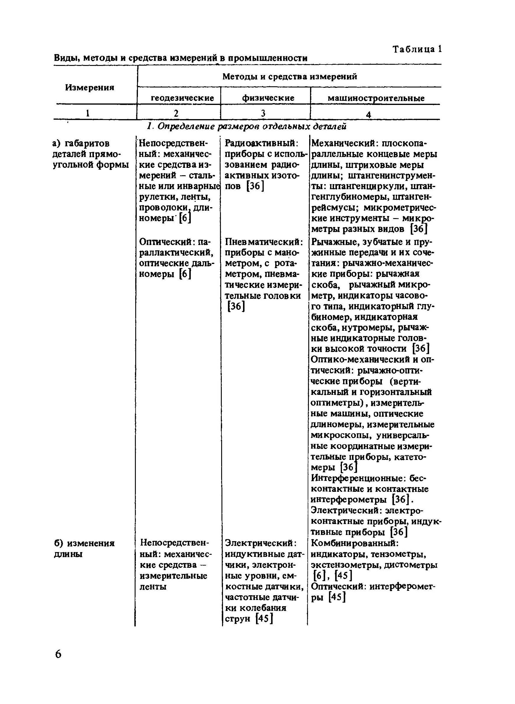
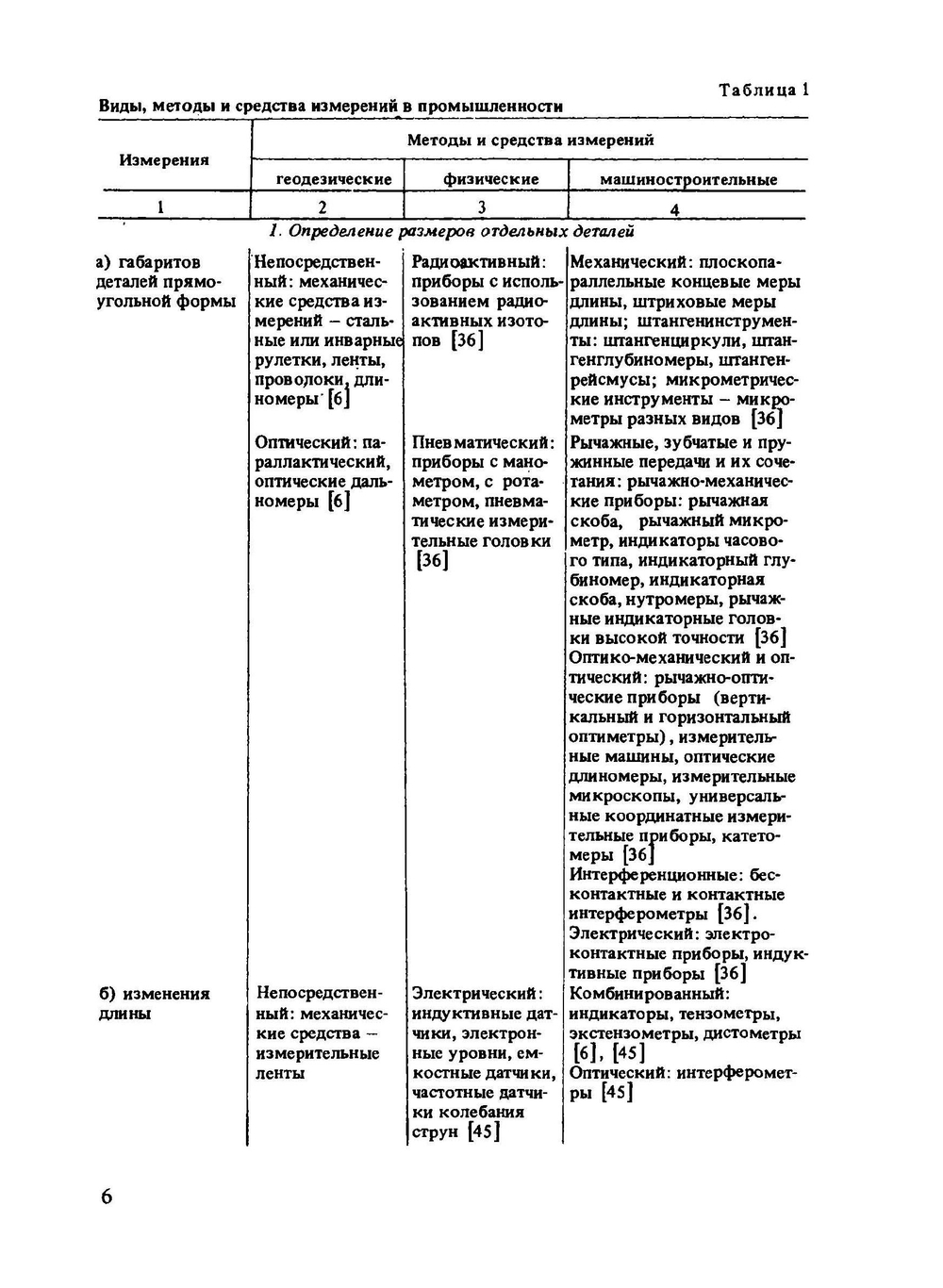
Рассмотрены особенности геодезического контроля при эксплуатации крупногабаритного промышленного оборудования. Освещены способы створов при выверке промышленного оборудования. Описаны геодезические способы измерения деформаций работающих промышленных агрегатов и их фундаментов, а также рациональные способы выверки работающих агрегатов. Дано определение оптимального положения осей агрегатов по результатам геодезической выверки.Для инженерно-технических работников, занимающихся вопросами геодезического контроля крупногабаритного промышленного оборудования.
Эта книга — репринт оригинального издания (издательство "Недра", 1986 год), созданный на основе электронной копии высокого разрешения, которую очистили и обработали вручную, сохранив структуру и орфографию оригинального издания. Редкие, забытые и малоизвестные книги, изданные с петровских времен до наших дней, вновь доступны в виде печатных книг.
Характеристики
Язык
Русский
Формат
205x280
Период издания оригинала
1980-1990
Отзывы
Отзывов еще никто не оставлял
